7.1 개요
무선 네트워크의 요소
무선 네트워크는 다음과 같은 구성 요소로 이루어진다.

무선 호스트
무선 호스트(wireless host)는 유선 네트워크의 경우처럼 애플리케이션을 실행하는 종단 시스템 장치다.
e.g., 스마트폰, 태블릿, 랩톱, 센서 등의 IoT(Internet of Things) 장치, 가전제품, 자동차, 그 외 인터넷에 연결된 무수히 많은 장치
무선 링크
호스트는 무선 통신 링크(wireless communication link)를 통해 기지국(base station)이나 다른 무선 호스트에 연결된다.
위 그림에서 무선 링크는 네트워크 가장자리에 있는 호스트를 코어에 있는 네트워크 인프라스트럭처로 연결해준다.
무선 링크는 때로는 네트워크 코어에서도 라우터, 스위치 등 네트워크 장치들 사이를 연결해주는 데 사용될 수 있다.
기지국
기지국(base station)은 기지국에 결합된 무선 호스트와의 데이터(e.g., 패킷) 송수신에 대한 책임을 진다.
즉, 자신과 결합되어 있는 다수의 무선 호스트들 사이의 전송을 중재하고 조정한다.
무선 호스트가 어떤 기지국에 ‘결합(association)되어 있다’는 것은 아래 두 가지를 의미한다.
- 호스트가 해당 기지국의 무선 통신 영역 안에 있다.
- 호스트가 자신과 네트워크 간의 데이터 중계(relay)를 위해 해당 기지국을 사용한다.
기지국의 예
- 셀룰러 네트워크에서의
셀 타워(cell tower) - 무선 네트워크에서의
AP(access point)
인프라스트럭처 방식
기지국에 접속된 호스트는 인프라스트럭처 방식(infrastructure mode)으로 동작한다고 한다.
이는 주소 할당이나 라우팅 등 기존의 모든 네트워크 서비스가 기지국을 통해 네트워크에 연결된 호스트에게 제공되기 때문이다.
이에 반해 애드혹 네트워크(ad hoc network)의 경우 무선 호스트는 연결할 수 있는 이런 인프라스트럭처가 없다.
이때 호스트는 스스로 라우팅, 주소 할당, DNS 방식의 이름-주소 변환 등의 서비스를 수행해야 한다.
핸드오프 (핸드오버)
이동 호스트가 한 기지국 영역을 벗어나 다른 기지국 영역으로 이동하는 경우, 중심부에 있는 큰 네트워크로의 접속점을 변경(결합된 기지국을 변경)해야 한다.
이 과정을 핸드오프(handoff) 또는 핸드오버(handover)라고 한다.
네트워크 인프라스트럭처
무선 호스트가 통신하고자 하는 큰 네트워크다.
무선 네트워크의 종류
무선 네트워크를 이루는 요소들은 다양한 방식으로 결합되어 여러 가지 형태의 무선 네트워크를 형성할 수 있다.
우리는 다음의 두 가지 기준에 따라 무선 네트워크를 크게 몇 종류로 분류할 수 있다.
- 무선 네트워크 내의 패킷이
하나의 홉만을 거치는가여러 홉을 거치는가? - 기지국과 같은 네트워크
인프라스트럭처가 있는가, 없는가?
단일 홉, 인프라스트럭처 존재
- 좀 더 큰 유선 네트워크와 연결된 기지국을 갖고 있다.
- 모든 통신은 이 기지국과 무선 호스트 사이에 단일 무선 홉으로 이루어진다.
- e.g.,
802.11 네트워크: 교실, 음식점, 도서관 등에서 사용4G LTE 네트워크
단일 홉, 인프라스트럭처 없음
- 유선 네트워크가 연결된 기지국이 없다.
- 단일 홉 네트워크 안의 하나의 노드가 다른 노드들의 전송을 중재, 조정할 수 있다.
- e.g.,
블루투스 네트워크: 키보드, 스피커, 헤드셋 등 작은 무선 장비들을 연결
다중 홉, 인프라스트럭처 존재
- 좀 더 큰 네트워크와 연결된 기지국이 존재해야 한다.
- 일부 노드들은 기지국와 통신하기 위해 다른 무선 노드들의 중계를 거쳐야 한다.
- e.g.,
일부 무선 센터 네트워크(wireless sensor network)무선 메시 네트워크(wireless mesh network)
다중 홉, 인프라스트럭처 없음
- 기지국이 없다.
- 노드들은 메시지를 목적지에 보내기 위해 여러 노드들의 중계를 거칠 수 있다.
- 노드들은 이동성이 있어 노드들 간의 연결성이 변화할 수 있다.
- 이러한 형태의 네트워크는
이동 애드혹 네트워크(mobile ad hoc network, MANET)라고 한다.
책에서는 주로 단일 홉 네트워크와 인프라스트럭처가 있는 네트워크에 논의를 한정한다.
7.2 무선 링크와 네트워크의 특징
무선 링크는 유선 링크와 다르게 추가로 고려해야 하는 것들이 존재한다.
신호 세기의 감소, 경로 손실
- 전자기파는 물체를 통과함에 따라 약화된다.
- 자유 공간에서도 전자기파 신호는 분산되고,
송신자와 수신자 사이의 거리가 증가함에 따라 신호의 세기가 감소한다.
이런 현상을 경로 손실(path loss)이라고도 한다.
다른 출발지로부터의 간섭
- 동일 주파수 대역으로 전송되는 무선 신호들은 서로
간섭하게 된다. - 이러한 송신자 간의 간섭 외에 주변의 전자기 잡음(e.g., 근처의 모터 또는 전자레인지로 인한) 등도 간섭을 일으킬 수 있다.
이런 이유로 최근의 802.11 표준들은 5 GHz 대역에서 동작한다.
다중 경로 전파
송신자와 수신자 간에 전송되는 전자기파의 일부가 물체나 지표에 부딪혀서
서로 길이가 다른 여러 개의 경로를 겨처갈 때 다중 경로 전파(multipath propagation) 현상이 생긴다.
이는 수신 측에서 감지되는 신호를 또렷하지 않게 만든다.
이들을 통해 알 수 있듯이, 유선 링크보다는 무선 링크에서 비트 오류가 더 자주 발생한다.
따라서 802.11을 포함한 무선 링크 프로토콜은 강력한 CRC 오류 검출 코드를 사용할 뿐만 아니라
손상된 프레임을 재전송해주는 링크 레벨의 신뢰성 있는 데이터 전송 프로토콜을 사용한다.
SNR, BER
SNR(signal-to-noise ratio)
측정된 수신 신호의 세기와 잡음의 상대적인 비율
- 단위 : 데시벨(dB)
(수신 신호의 진폭과 잡음의 진폭에 각각 밑이 10인 로그함수를 취한 비율의 20배) - SNR 값이 커질수록 수신 측에서는 잡음에도 불구하고 원하는 신호를 추출하기 쉬워진다.
비트 오류율, BER(bit error rate)
송신된 비트가 수신 측에서 오류로 검출될 확률
아래 그림은 이상적인 무선 채널에서 세 가지 변조(modulation) 기법의 비트 오류율을 나타내는 BER 값과 SNR 값의 관계를 보여준다.

동일한 변조 기법 내에서는 SNR 값이 높을수록 BER 값이 낮아진다
이는 송신자가 출력 세기를 높이면 SNR 값이 커지고,
동시에 수신된 비트에서 오류가 발생할 확률은 낮아지기 때문이다.
그러나 출력 세기를 어느 임계점 이상으로 높이는 것은 이득이 없다.
출력 세기를 높이는 것의 단점은 다음과 같다.
- 출력 세기를 높일수록 송신 장치에서 더 많은 에너지가 소모되며, 이는 배터리를 사용하는 이동 통신 사용자에게는 중요한 문제다.
- 출력 세기를 높이면 다른 송신자의 전송과 더 많은 간섭이 생길 수 있다.
동일한 SNR 값에서는 높은 전송률을 갖는 변조 기법이 더 높은 BER 값을 갖는다
위 그림에서 SNR 값이 10 dB일 때를 보자.
- 1 Mbps 전송률의
BPSK 변조 기법의 BER 값 = 10^(-7) 이하 - 4 Mbps 전송률의
QAM16 변조 기법의 BER 값 = 10^(-1)
10^(-1)는 실제 사용하기에는 지나치게 높은 오류율이기 때문에, 이 환경에서는 BPSK 변조 기법이 더 선호된다.
반대로, SNR 값이 20 dB일 때를 보자.
- 1 Mbps 전송률의
BPSK 변조 기법의 BER 값은 표시되지도 않을 정도로 낮다. - 4 Mbps 전송률의
QAM16 변조 기법의 BER 값 = 10^(-7)
만약 10^(-7) 정도의 BER 값이 별문제가 없다면 이 환경에서는 높은 전송률을 갖는 QAM16 변조 기법이 더 선호된다.
이러한 고찰을 기반으로 다음에 기술한 마지막 특성이 도출된다.
변조 기술을 채널의 조건에 적합하도록 유연하게 적응시키기 위해 물리 계층 변조 기법의 동적인 선택이 사용될 수 있다
SNR 및 BER 값은 이동성의 결과 또는 환경의 변화로 인해 바뀔 수 있다.
따라서 802.11 와이파이 또는 4G/5G 네트워크 기반의 셀룰러 데이터 전송 시스템에서는
주어진 채널 환경에서 적당한 BER를 만족하는 동시에 최고의 전송률을 제공하는 적응적인 변조 기법을 선택할 수 있도록 허용한다.
숨은 터미널 문제(hidden terminal problem)
아래의 상황에서 A가 B로, C가 B로 데이터를 전송한다고 가정하자.

이때 A와 C의 전송 신호가 실제로 목적지 B에서 간섭됨에도 불구하고
산이나 건물 등의 환경적인 장애물로 인해 A와 C는 서로 상대방의 전송을 인지하지 못하는 일이 생긴다.
이를 숨은 터미널 문제(hidden terminal problem)한다.
페이딩(fading) 현상
신호가 무선 매체를 통과함에 따라 신호 세기가 약해지는 현상을 말한다.

위 그림에서 A와 C가 서로의 전송을 검출하기에는 충분하지 않은 세기의 신호를 수신하는 거리에 있으나,
이들 신호가 중간에 있는 B에서는 간섭된다.
7.2.1 CDMA
코드 분할 다중 접속(code division multiple access, CDMA)은 채널 분할 접속 프로토콜의 하나로서,
무선 랜 및 셀룰러 기술에서 아주 많이 사용되고 있다.
채널 분할 접속 프로토콜
공유 매체를 통해 호스트들이 통신할 때, 여러 송신자에 의해 전송된 신호가 수신 측에서 간섭되지 않게 해주는 프로토콜
CDMA 프로토콜에서는 송신자가 전송하는 각 비트를 확장해서
애초의 데이터 비트열보다 훨씬 빠른 속도(칩 속도(chipping rate))로 변화되도록 하는 신호(코드)를 곱하는 방식으로 인코딩한다.
아래의 간단하고 이상적인 CDMA 인코딩/디코딩 시나리오를 보자.

데이터 비트들이 CDMA 인코더에 도착하는 속도에 의해 시간의 단위가 정의된다고 가정하자.
즉, 전송되는 각각의 원래 데이터 비트는 한 비트 슬롯 시간이 필요하다.
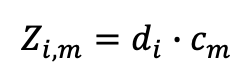
i번째 비트 슬롯의 데이터 비트값을 di라고 하자.
계산의 편의상, 1 값을 갖는 데이터 비트는 1로, 0 값을 갖는 데이터 비트는 -1로 표시한다.
각 비트 슬롯은 M개의 미니슬롯들로 더 분할된다. (그림에서는 M = 8)
- 송신자가 사용하는 CDMA 코드는 일련의 연속된 M개의 값,
Cm(m = 1, … , M)으로 구성된다. - 각각의 Cm 값은 1 또는 - 1 값을 갖는다.
✅ 간섭하는 송신자가 없는 단순한 환경에서의 CDMA 동작
CDMA의 동작을 구체적으로 알아보기 위해, i번째 데이터 비트인 di에 대해 살펴보자.


수신자는 인코딩된 바이트열 Zi,m을 수신해서 다음과 같이 합성함으로써 원래의 데이터 비트 di를 생성한다.

위의 시나리오 그림에서 해당 식을 통해 원래 데이터 비트가 수신자에 의해 정확히 얻어지는 것을 확인할 수 있다.
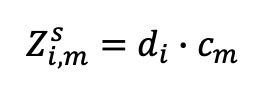
✅ 간섭하는 송신자가 존재하는 환경에서의 CDMA 동작
현실에서는 서로 간섭하는 다수의 송신자가 존재한다.
이 경우, CDMA 수신자는 다른 송신자들이 전송한 비트들과 섞여 있는 상황에서 내 송신자의 원래 데이터 비트를 어떻게 다시 생성할 수 있을까?
CDMA는 동시에 전송되어 간섭하는 비트 신호들을 더할 수 있다는 전제하에 동작한다.
e.g., 같은 미니슬롯에서 3명의 송신자가 1의 값을 전송하고 4번째 전송자가 -1의 값을 전송한다면,
그 미니슬롯에서 모든 수신자가 수신하는 신호는 2(= 1+1+1-1)가 된다.
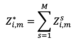
다수의 송신자가 있는 경우에도 송신자 s는 아래 식을 사용해서 자신의 인코딩된 전송 비트열을 정확히 계산한다.
(위에서의 식과 동일)


i번째 비트 슬롯의 m번째 미니슬롯은 그 미니슬롯 동안 모든 N개의 송신자가 전송한 비트들의 합이 된다.

만약 송신자의 코드가 조심스럽게 선택되었다면,
수신자는 다수 송신자로부터의 혼합된 신호로부터 원하는 송신자가 전송한 데이터만을 아래 식과 같이 특정 송신자 코드를 사용해서 쉽게 추출해낼 수 있다.

아래는 두 송신자가 존재할 때, 수신자가 위쪽 송신자로부터의 원래 데이터 비트열을 구하는 과정을 나타낸다.
수신자는 아랫쪽 송신자의 간섭에도 불구하고 첫 번째 송신자의 데이터를 추출할 수 있다.

💡 CDMA는 (시간이나 주파수가 아닌) **코드를 분할(partitioning)**해서 각 노드에게 적당한 코드를 할당하는 분할 프로토콜이다.
위에서는 CDMA에 대한 필수적인 설명만 했지만, 실제로는 많은 어려운 문제들이 있다.
- CDMA 수신자가 특정 송신자의 신호를 추출해낼 수 있도록 CDMA 코드를 조심스럽게 선택해야 한다.
- 앞에서는 여러 송신자로부터의 신호 세기가 수신자 쪽에서 동일하다고 가정했으나, 실제 상황에서 이런 경우는 드물다.
7.3 와이파이: 802.11 무선 랜
1990년대 다양한 무선 랜(wireless LAN) 관련 기술 및 표준이 개발되었으나
그중 가장 성공적인 기술, **와이파이(WiFi)**라고 알려진 IEEE 802.11 무선 랜이 관련 기술들을 통합하게 되었다.
IEEE 802.11 표준안

802.11b, g, n, ac, ax 표준
- 일반적으로 거리가 70m 미만인 영역에서 동작하는 WLAN 용도
- 이전 표준과의
역방향 호환성을 갖는다.
즉, 802.11g 기능만을 갖는 이동 단말도 802.11ac 또는 802.11ax 기지국과의 상호작용이 가능하다. - 모두
CSMA/CA라는 동일한 매체 접속 프로토콜을 사용한다.
802.11af, ah 표준
- IoT, 센서 네트워크, 측정 애플리케이션을 활용하기 위한 용도 (좀 더 먼 거리에서 동작)
주파수 영역
802.11 무선 랜 장치들은 두 종류의 주파수 영역에서 동작한다.
2.4 GHz 대역
- 5.1~5.8 GHz 주파수 영역
- 비허가(unlicensed) 주파수 대역
- 이 영역에서 802.11 장치들은 2.4 GHz 무선 전화 및 가전제품과 주파수 경쟁을 하게 된다.
5 GHz 대역
- 전력 수준이 동일할 경우 전송 거리가 더 짧고 다중 경로 전파의 영향을 더 많이 받는다.
안테나
802.11n, 802.11ac, 802.11ax 표준은 MIMO(multiple input multiple-output) 안테나를 사용한다.
이는 송신과 수신 측에 각각 2개 이상의 안테나가 있어 각기 다른 신호를 송수신하는 방식이다.
802.11ac, 802.11ax 기지국은 여러 개의 스테이션을 동시에 전송할 수 있으며,
목적지에 따라 동적으로 수신자의 방향을 향해 전송할 수 있는 스마트 안테나를 사용한다.
이는 간섭을 줄이고, 동일한 데이터 전송률에서의 도달 거리를 향상하는 기능을 한다.
7.3.1 802.11 WLAN 구조
다음은 802.11 무선 랜 구조의 핵심적인 구성요소를 보여준다.

BSS(basic service set)
- 802.11 구조의 가장 근본적인 구성 단위
- 구성
- 하나 이상의
무선 단말기 - 하나의 기지국(base station) 즉,
AP(access point)
- 하나 이상의
- 전형적인 홈 네트워크에서는 BSS를 인터넷으로 연결하는 AP와 라우터가 각각 필요하다.
MAC 주소
- 802.11 무선 기지국은 6바이트의 MAC 주소를 가진다.
- MAC 주소는 스테이션의 어댑터(802.11 네트워크 인터페이스 카드) 펌웨어에 저장되어 있다.
- 각각의 AP도 자신의 무선 인터페이스에 대한 MAC 주소를 갖는다.
- MAC 주소는 IEEE에 의해 관리되며, 이론적으로는 전 세계에서 유일성을 갖는다.
인프라스트럭처 무선 랜(infrastructure wireless LAN)
- AP를 가진 무선 랜
네트워크 인프라스트럭처: AP, 그리고 AP를 인터넷 라우터와 연결해주는 유선 이더넷 구조를 통칭한다.
애드혹 네트워크
- 중앙 제어나 외부 네트워크로의 연결 인프라가 없는 경우를 말한다.
- e.g., 랩톱을 가진 사람들이 중앙 제어되는 AP가 없는 환경(회의실, 기차, 자동차 등)에서 만나 데이터를 교환할 때
- 네트워크는 근접한 이동 장치들 사이의 연결을 통해 즉흥적으로 형성된다.
- 이미 존재하는 다른 네트워크 인프라스트럭처에 기댈 수가 없고 따라서 가까이 있는 장치들이 서로 찾아서 통신해야 하기 때문이다.
아래 그림은 IEEE 802.11 스테이션들이 애드혹 네트워크를 형성하기 위해 서로를 그룹으로 연결하는 상황을 보여준다.

채널과 결합
802.11에서 개별 무선 단말기는 네트워크 계층 데이터를 송신 또는 수신하기 전에 하나의 AP와 결합(association)되어 있어야 한다.
모든 802.11 표준에서 결합을 사용하고 있지만, 특히 IEEE 802.11 b, g, n, ac, ax 환경에서 이 주제를 논의하겠다.
- 네트워크 관리자가 AP를 설치할 때 AP에서 하나 또는 두 단어로 된
SSID(Service Set Identifier)를 할당한다. - 관리자는 AP에게
채널 숫자를 할당해야 한다.- 802.11은 2.4~2.4835 GHz 주파수 범위에서 동작한다.
- 이 80여 MHz 주파수 대역에서 11개의 일부가 겹치는 채널들을 정의하고 있기에
서로 다른 2개의 채널은 4개 채널 이상의 간격으로 분리되어 있어야만 겹치지 않는다.
와이파이 정글(WiFi jungle)
무선 스테이션이 둘 이상의 AP로부터 충분히 강한 신호를 받을 수 있는 모든 지역
이러한 AP들은 각기 다른 IP 서브넷에 있을 수 있고, 독립적으로 채널을 할당했을 수도 있다.
무선 스테이션이 인터넷에 접속하기 위해서는 정확히 하나의 서브넷에 들어가야 하므로 단 하나의 AP와 결합되어야 한다.
(결합 = 무선 스테이션이 AP와 가상 회선을 만드는 것)
-
802.11 표준은 AP가 주기적으로
비컨 프레임(beacon frame)을 전송할 것을 요구한다.- 비컨 프레임(beacon frame)에는 AP의
SSID와MAC 주소가 포함된다.
- 비컨 프레임(beacon frame)에는 AP의
-
무선 스테이션은 주변 AP로부터의 비컨 프레임을 찾기 위해 11개 채널을 살펴본다.
-
비컨 프레임으로부터 사용 가능한 AP들의 정보를 얻은 무선 스테이션은 결합을 맺을 AP를 하나 선택한다.
- 802.11 표준은 사용 가능한 AP 중 어떤 것을 선택할 것인지를 정하는 알고리즘을 정의하지 않고 있으며,
이는 무선 스테이션의 펌웨어 또는 소프트웨어 설계자에 의해 결정된다. - 일반적으로는 비컨 시그널의 세기가 가장 강한 AP를 선택한다.
- 802.11 표준은 사용 가능한 AP 중 어떤 것을 선택할 것인지를 정하는 알고리즘을 정의하지 않고 있으며,
수동적 스캐닝과 능동적 스캐닝
수동적 스캐닝(passive scanning) : 비컨 프레임의 수신을 통해 채널을 찾는 과정

- AP들로부터 비컨 프레임이 전송된다.
- H1에서 선택된 AP로 결합 요청 메시지를 전송한다.
- 선택된 AP에서 H1으로 결합 수락 메시지를 전송한다.
무선 호스트는 능동적 스캐닝 과정을 수행할 수 있다.
능동적 스캐닝(active scanning) : 무선 스테이션이 영역 안에 있는 AP들에게 탐사용 프로브(probe) 프레임을 방송하는 방식

탐사용 프로브 프레임이 H1으로부터 방송된다.- AP들로부터
프로브 응답 메시지가 도착한다. - H1에서 선택된 AP로 결합 요청 메시지를 전송한다.
- 선택된 AP에서 H1으로 결합 수락 메시지를 전송한다.
스테이션의 첫 번째 프로브 요청에 응답한 AP는 여러 개의 응답한 AP 중 어떤 것이 선택될지 모르기 때문에 두 번째 요청/수락 핸드셰이킹 통신이 필요하다.
AP와의 결합 단계가 끝난 후, 무선 스테이션은 AP의 서브넷 IP 주소를 얻기 위해서 결합된 AP를 통해 서브넷으로 ‘DHCP 발견 메시지’를 전송한다.
서브넷 주소를 얻으면 인터넷의 나머지 노드는 이 무선 스테이션을 선택된 AP의 서브넷 내부의 IP 주소를 지닌 한 호스트로 여기게 된다.
무선 스테이션이 특정 AP와 결합하기 위해서는 해당 AP에게 자신을 인증(authentication)해야 할 때도 있다.
- e.g., 스테이션의 MAC 주소를 기반으로 무선 네트워크로의 접근을 허용 / 사용자 이름과 암호를 입력
- AP는
인증 서버와 통신하며, 무선 종단 스테이션과 인증 서버 사이에서 RADIUS DIAMETER 같은 프로토콜을 사용해서 정보를 중계한다.
7.3.2 802.11 MAC 프로토콜
무선 스테이션이 AP와 결합되면 AP와 데이터 프레임을 송수신할 수 있다.
그러나 AP 자신을 포함한 여러 스테이션이 동시에 동일한 채널로 데이터 프레임을 전송할 수 있으므로
전송을 조정하기 위해 다중 접속 프로토콜이 필요하다.
다중 접속 프로토콜은 크게 세 가지 방법으로 분류된다.
- 채널 분할 (e.g., CDMA)
- 랜덤 접속
- 순번제
이더넷에서 랜덤 접속 프로토콜이 커다란 성공을 함에 따라 무선 랜에서도 랜덤 접속 프로토콜이 사용된다.
802.11 무선 랜에서 사용되는 랜덤 접속 프로토콜은 CSMA/CA(carrier sense multiple access with collision avoidance)다.
즉, 스테이션이 전송하기 전에 채널 상태를 감지하고(sense), 만일 채널이 사용 중이면 전송하지 않는다.
이더넷과 802.11 모두 채널을 감지하는 랜덤 접속 프로토콜을 사용하지만,
이들 MAC(Medium Access Control, 매체 접속 제어) 프로토콜에는 차이가 있다.
-
802.11은 충돌 검출(collision detection)을 사용하지 않고
충돌 회피(collision avoidance)기술을 사용한다.- 이유
- 충돌 검출을 하려면 (스테이션 자신의 신호) 송신과 (다른 스테이션의 전송 여부 결정을 위한) 수신이 동시에 가능해야 한다.
일반적으로 802.11 어댑터에서 수신 신호의 세기는 송신 신호의 세기에 비해 아주 약하므로, 송수신을 모두 고려하여 충돌을 검출할 수 있는 하드웨어를 만드는 데는 많은 비용이 든다. - 동시에 송수신이 가능하고 다른 스테이션에 의한 채널 사용을 감지했을 때 전송을 중단할 수 있다고 하더라도,
숨은 터미널 문제와페이딩때문에 충돌을 검출하지 못할 수도 있다.
- 충돌 검출을 하려면 (스테이션 자신의 신호) 송신과 (다른 스테이션의 전송 여부 결정을 위한) 수신이 동시에 가능해야 한다.
- 따라서 802.11 무선 랜은 일단 스테이션이 프레임을 전송하기 시작하면 그 프레임을 모두 전송하고, 이를 중단할 수 없다.
- 충돌이 빈번할 때 프레임 전체를 전송하면 다중 접속 프로토콜의 성능이 상당히 저하될 수 있기 때문에 몇 가지 충돌 회피 기술을 사용한다.
- 이유
-
802.11에서는
링크 계층 ARQ(ACK/재전송) 방식을 사용한다.
링크 계층 ACK(link-layer acknowledgment)
무선 랜에서 송신 스테이션이 전송한 프레임은 여러 가지 이유(숨은 터미널 문제, 페이딩 등)로 목적지 스테이션에 제대로 도달하지 못할 수 있으며,
이를 해결하기 위해 802.11 MAC에서는 링크 계층 ACK(link-layer acknowledgment)를 사용한다.

-
목적지 스테이션은 CRC 검사를 통과한 프레임을 수신하면
SIFS(Short Inter-Frame Spacing)라는 짧은 시간을 기다린 후에ACK 프레임을 송신 스테이션에게 보낸다. -
(1) 만일 송신 스테이션이 주어진 시간 동안에 ACK를 수신하지 못하면, 송신 스테이션은 오류가 발생했다고 가정한다.
(2) 송신 스테이션은 다시
CSMA/CA 프로토콜을 사용해서 채널 접속을 한 후 프레임을 재전송한다. -
일정 횟수만큼의 재전송 후에도 ACK를 수신하지 못하면, 송신 스테이션은 포기하고 프레임을 폐기한다.
802.11 CSMA/CA 프로토콜
스테이션(무선 장치나 AP)이 전송할 프레임을 갖고 있다고 가정하자.
-
스테이션은 채널이 사용되지 않음을 감지하면
DIFS(Distributed Inter-frame Space)라는 짧은 시간 동안 기다린 후에 프레임을 전송한다. -
그렇지 않고 채널이 사용 중이면 스테이션은
백오프 방식에 따라 선택된 임의의 시간 동안 대기한다. (6.3.2절 참고)- DIFS 시간 이후에 채널이 사용되지 않음을 감지하면 선택된 시간의 카운터값은 감소하며,
채널 사용이 감지되면 카운터값을 그대로 고정한다.
- DIFS 시간 이후에 채널이 사용되지 않음을 감지하면 선택된 시간의 카운터값은 감소하며,
-
카운터가 0에 도달하면 스테이션은 프레임 전체를 전송한 후에 ACK를 기다린다.
- 카운터가 0에 도달하는 것은 채널이 사용되지 않을 때만 가능하다.
-
(1) ACK를 수신하면 송신 스테이션은 프레임이 목적지 스테이션에 의해 제대로 수신되었음을 알게 된다.
→ 만일 스테이션에 전송할 프레임이 또 있다면 2단계의 CSMA/CA 프로토콜을 수행한다.(2) ACK를 수신하지 못하면 송신 스테이션은 좀 더 증가된 임의의 시간값을 선택한 후, 2단계의 백오프 과정을 수행한다.
-
이더넷의
CSMA/CD(collision detection) 다중 접속 프로토콜
: 채널이 사용되지 않는 유휴 상태임을 감지한 스테이션은 바로 전송을 시작한다. -
802.11의
CSMA/CA(collision avoidance) 프로토콜
: 채널이 사용되지 않는 상태임을 감지하더라도 스테이션은 임의의 백오프값을 선택하여 카운트다운 과정을 거치므로 전송을 지연시킨다.
각각 전송할 프레임을 가진 2개의 스테이션이 또 다른 제3의 스테이션이 이미 전송하고 있음을 감지했기 때문에 바로 전송하지 않는 상황을 생각해보자.
이더넷 CSMA/CD에서는 전송 중이었던 스테이션이 전송을 마치면 이 두 스테이션이 바로 전송을 시작한다.
- 이 경우에 충돌이 발생하며, CSMA/CD에서는 두 스테이션 모두 전송을 즉시 중단한다.
- 충돌을 겪은 프레임의 나머지 부분을 전송하지 않음으로써 불필요한 전송을 피하므로 문제가 심각해지지 않는다.
802.11은 충돌을 검출하지 않으며 전송을 중단하지도 않는다.
-
이에 충돌을 겪은 프레임이라도 전체를 다 전송하기 때문에, 802.11의 목표는 가능한 한 충돌을 회피하는 것이다.
-
두 스테이션이 채널이 현재 사용 중임을 감지하면 아래와 같은 방식으로 충돌을 회피한다.
- 이들은
랜덤 백오프(random backoff) 기법을 수행하여 임의의 백오프값을 선택한다. - 선택된 백오프 시간이 다른 경우, 채널이 사용되지 않는 유휴 상태에 도달했을 때
- 경쟁 중인 두 스테이션 중 하나가 다른 스테이션보다 먼저 전송을 시작하며,
- ‘경쟁에서 진 스테이션’은 ‘이긴 스테이션’의 신호를 감지하고 자신의 카운터를 멈춘 후
- 경쟁에서 이겨 전송 기회를 획득한 스테이션이 전송을 완료할 때까지 기다린다.
- 이들은
-
이 상황에서도 두 스테이션이 서로 숨은 터미널이거나 두 스테이션이 선택한 임의의 백오프값이 너무 가까울 경우 충돌이 생길 수 있다.
숨은 터미널 해결방안: RTS와 CTS
802.11 MAC 프로토콜은 숨은 터미널이 존재하더라도 충돌을 회피할 수 있는 예약 방법을 선택할 수 있도록 제공한다.
아래의 상황에서는 2개의 무선 스테이션(H1, H2)과 하나의 AP가 있다.
두 무선 스테이션은 동일한 AP의 영역 내에 있으며 이 AP와 결합되어 있는데,
페이딩 때문에 각 무선 스테이션은 AP로부터는 잘 보이지만 그들 서로 간에는 숨어 있다.

숨은 터미널이 왜 문제일까?
스테이션 H1이 프레임을 AP로 전송하고 있고, H1이 전송하는 도중에 스테이션 H2가 AP로의 전송을 원한다고 가정하자.
H1의 전송을 듣지 못한 H2는 임의의 시간(DIFS)을 기다린 후에 DATA 프레임을 전송하며 충돌이 발생하게 되고,
이에 H1의 전체 전송 시간과 H2의 전체 전송 시간 동안 채널이 낭비된다.
이 문제를 해결하기 위해 IEEE 802.11 프로토콜에서는
스테이션들이 짧은 RTS(Request to Send) 제어 프레임과 짧은 CTS(Clear to Send) 제어 프레임을 주고받게 함으로써 채널 접속을 예약할 수 있게 한다.
-
송신자는 DATA 프레임을 전송하고 싶으면, 먼저
RTS 프레임을 AP에게 보냄으로써
DATA 프레임과 ACK 프레임을 전송하는 데 필요한 전체 시간을 알려준다. -
AP가 RTS를 수신하면 이에 대한 응답으로
CTS 프레임을 영역 내의 모든 스테이션에게 전송한다. (송신 스테이션 포함)- 송신자에게는 전송할 수 있다는 허가를 알려준다.
- 다른 스테이션들에게는 예약된 시간 동안 전송하지 못하게 한다.

RTS와 CTS 프레임을 사용하면 다음과 같이 두 가지 측면에서 성능이 향상된다.
- 채널을 예약한 다음에만 길이가 긴 DATA 프레임을 전송하기 때문에 숨은 스테이션 문제가 완화될 수 있다.
- RTS와 CTS 프레임은 길이가 짧으며, RTS/CTS 프레임에 의한 충돌은 짧은 RTS/CTS 프레임이 전송되는 동안에만 발생한다.
일단 RTS와 CTS 프레임이 제대로 전송되면, 그 뒤에 오는 DATA와 ACK 프레임은 충돌 없이 전송된다.
하지만 이들로 인해 지연과 채널 자원의 낭비가 생긴다.
따라서 실제로 무선 스테이션에서는 RTS 임계치를 설정하여,
임계치보다 긴 DATA 프레임을 전송할 때만 RTS/CTS 교환을 통해 채널을 예약할 수 있도록 한다.
점대점 링크로서의 802.11 사용
만일 두 노드가 지향성 안테나(directional antenna)를 갖고 있다면
지향성 안테나로 상대방을 가리킴으로써 지점 간의 링크를 형성하고, 이 링크에 대해 802.11 프로토콜을 실행할 수 있다.
비용이 저렴한 802.11 하드웨어에 지향성 안테나와 증가된 전송 전력(power)을 사용함으로써
802.11은 수십 km 거리의 무선 지점 사이에 연결을 제공하는 저렴한 수단으로 사용될 수 있다.
7.3.3 IEEE 802.11 프레임
802.11 프레임은 이더넷 프레임과 유사하지만, 무선 링크 사용에 특화된 몇 개의 필드를 갖고 있다.
아래 그림은 802.11 프레임을 표시한 것인데,
프레임의 각 필드 위의 숫자는 필드 길이를 바이트 단위로 나타낸 것이다.
Frame Control 필드의 서브필드(subfield) 위의 숫자는 서브필드의 길이를 비트 단위로 나타낸 것이다.

Payload, CRC 필드
-
페이로드(payload)는 보통 하나의 IP 데이터그램이나 ARP 패킷이다.
(최대 2,312바이트까지 허용, 하나의 데이터그램이나 ARP 패킷을 포함함) -
32비트의
CRC를 통해 802.11 프레임은 수신자가 수신한 프레임의 비트 오류를 검출할 수 있다.
(비트 오류는 유선 랜보다 무선 랜에서 훨씬 많이 발생하므로 CRC 기법은 무선 랜에서 더 유용함)
주소 필드
802.11 프레임의 가장 큰 차이점은 4개의 주소 필드를 갖고 있다는 것이다.
각 주소 필드는 6바이트의 MAC 주소를 포함할 수 있다.
왜 주소 필드가 4개나 필요할까?
네트워크 연동(internetworking)을 위해서는 3개의 주소가 필요하다.- e.g., 무선 스테이션에서 AP를 통해 라우터 인터페이스로 네트워크 계층 데이터그램을 전송하는 경우
- 네 번째 주소는
애드혹 네트워크 모드에서 사용된다.
802.11 표준에서는 처음 3개의 주소 필드를 다음과 같이 정의한다.
Address 2
- 프레임을 전송하는 스테이션의 MAC 주소
- e.g.,
- 무선 스테이션이 프레임을 전송하면 그 스테이션의 MAC 주소가 이 필드에 삽입된다.
- AP가 프레임을 전송하면 AP의 MAC 주소가 이 필드에 삽입된다.
Address 1
- 프레임을 수신하는 무선 스테이션의 MAC 주소다.
- e.g.,
- 이동 무선 스테이션이 프레임을 전송하면 Address 1에는 목적지 AP의 MAC 주소가 삽입된다.
- AP가 프레임을 전송하면 Address 1에 목적지 무선 스테이션의 MAC 주소가 삽입된다.
Address 3
- AP와 무선 기지국들로 구성된 BSS는 서브넷의 일부이고, 이 서브넷은 라우터 인터페이스를 통해 다른 서브넷으로 연결된다.
- Address 3은 이 라우터 인터페이스의 MAC 주소를 포함한다.
💡 Address 3은 BSS를 유선 랜과 연동하는 데 핵심적인 역할을 한다.
아래의 예시를 보자.

- 2개의 AP가 있으며, 각 AP는 다수의 무선 스테이션들을 책임진다.
- 각 AP는 라우터에 직접 연결되어 있으며, 라우터는 글로벌 인터넷에 연결되어 있다.
- AP는 링크 계층 장치이기에 네트워크 계층인 IP 기능을 갖지 않으며, IP 주소를 이해하지도 못한다.
1️⃣
라우터 인터페이스 R1로부터무선 스테이션 H1로 데이터그램을 전달한다고 하자.
라우터는 자신과 H1 사이에 AP가 존재한다는 사실을 알지 못하며, H1을 자신에게 연결된 서브넷 중 하나에 대한 호스트 정도로 생각한다.
-
(1) 데이터그램의 목적지 주소로부터 H1의 IP 주소를 알게 된 라우터는
ARP를 사용해서 H1의 MAC 주소를 결정한다.(2) H1의 MAC 주소를 획득한 라우터 인터페이스 R1은
이더넷 프레임내에 데이터그램을 캡슐화한다.- 출발지 주소 필드 : R1의 MAC 주소
- 목적지 주소 필드 : H1의 MAC 주소
-
이더넷 프레임이 AP에 도착하면
AP는 이 프레임을 무선 채널로 전송하기 전에 802.3 이더넷 프레임을802.11 프레임으로 변환한다.- Address 1 필드 : H1의 MAC 주소
- Address 2 필드 : AP 자신의 MAC 주소
- Address 3 필드 : R1의 MAC 주소
따라서 H1은 Address 3으로부터 데이터그램을 서브넷으로 전송한 라우터 인터페이스의 MAC 주소를 알 수 있다.
2️⃣
무선 기지국 H1이 응답으로 R1에게 데이터그램을 전송한다고 하자.
-
H1은
802.11 프레임을 생성한다.- Address 1 필드 : AP의 MAC 주소
- Address 2 필드 : H1의 MAC 주소
- Address 3 필드 : R1의 MAC 주소
-
AP가 이 802.11 프레임을 수신하면 이것을
이더넷 프레임으로 변환한다.- 출발지 주소 필드 : H1의 MAC 주소
- 목적지 주소 필드 : R1의 MAC 주소
따라서 AP가 이더넷 프레임을 구성할 때 Address 3으로부터 목적지 MAC 주소를 결정할 수 있게 해준다.
Sequence Number, Duration, Frame Control 필드
802.11에서는 한 스테이션이 다른 스테이션으로부터 프레임을 제대로 수신할 때마다 ACK를 보낸다.
ACK가 손실될 수 있으므로 송신 스테이션은 같은 프레임을 여러 번 보낼 수도 있는데,
Sequence Number 필드로 순서 번호를 사용함으로써 수신자는 새로 전송된 프레임과 재전송된 프레임을 구분할 수 있다.
802.11 프로토콜에서 송신 스테이션은 데이터 프레임을 전송하는 시간과 ACK를 전송하는 시간을 포함한 시간 동안 채널을 예약할 수 있다.
데이터 프레임과 RTS 및 CTS 프레임 모두에 대해 이 시간값은 해당 프레임의 Duration 필드에 포함된다.
Frame Control 필드는 여러 개의 서브필드로 구성된다.
-
Type 필드와Subtype 필드: 결합, RTS, CTS, ACK, 데이터 프레임을 구분하는 데 사용된다. -
To 필드와From 필드: 주소 필드들의 의미를 정의하는 데 사용된다.- 주소 필드가 갖는 의미는
(1) 애드혹 또는 인프라스트럭처 방식의 사용 여부에 따라서,
(2) 인프라스트럭처 방식의 경우는 프레임을 무선 기지국이 전송하는지, AP가 전송하는지 여부에 따라서 달라진다.
- 주소 필드가 갖는 의미는
-
WEB 필드: 암호화 사용 여부를 나타낸다.
7.3.4 동일한 IP 서브넷 내에서의 이동성
무선 랜의 물리적 영역을 증가시키기 위해 동일한 IP 서브넷에 여러 개의 BSS를 설치하기도 한다.
따라서 무선 스테이션이 기존 TCP 세션을 유지한 채로 어떻게 한 BSS에서 다른 BSS로 매끄럽게 이동할 수 있는가 하는 이동성 문제가 발생한다.

위 그림에서 두 BSS를 연결하는 장치는 라우터가 아니며, 두 BSS에 있는 AP를 포함한 모든 기지국은 동일한 IP 서브넷에 속한다.
따라서 호스트 H1이 BSS1에서 BSS2로 이동할 때 H1의 IP 주소는 동일하게 유지되며, 현재 진행 중인 TCP 연결도 유지될 수 있다.
만약 연결 장치가 라우터인 경우, H1은 자신의 IP 주소를 새로 진입한 서브넷에 맞게 변경하기 위해
현재 진행 중인 TCP 연결을 잠시 중단하거나 종료해야할 수도 있다.
→ 이동 IP(mobile IP)와 같은 네트워크 계층의 이동성 프로토콜을 사용
호스트와 AP의 관점
- H1은 AP1에서 떠나면서 그의 신호가 약해지는 것을 감지하고, 더 강한 신호를 찾기 시작한다.
- H1은 AP2로부터
비컨 프레임을 수신하면, 자신의 IP 주소와 진행 중인 TCP 세션을 유지한 채로 AP1과의 결합을 끊고 AP2와 새로운 결합을 만든다.
스위치의 관점
스위치는 ‘자가학습’을 하고 자동으로 포워딩 테이블을 구성할 수 있지만,
TCP 연결을 유지한 채로 BSS들 사이의 이동을 하는 사용자는 지원하지 못한다.
- H1이 BSS1에 있으면 H1의 데이터그램은 AP1로 전달되어야 한다.
- H1이 BSS2에 있으면 H1의 데이터그램은 AP2로 전달되어야 한다.
- H1이 BSS2와 결합을 새로 설정한 다음에
- AP2로 하여금 출발지 주소가 H1인
이더넷 프레임을 스위치로 브로드캐스트하게 만든다. - 이 프레임을 수신한 스위치는 포워딩 테이블을 갱신함으로써 AP2를 통해 H1에 도달할 수 있다.
7.3.5 802.11의 고급 특징
802.11 전송률 적응
앞서 보았듯이, 상이한 SNR 환경에 따라 전송률의 차이가 있는 각각 다른 변조 기법이 적합할 수 있다.
기지국으로부터 20 m 떨어져 있고 높은 SNR을 갖는 802.11 이동 사용자를 가정해보자.
- 빠른 전송률을 갖는 물리 계층 변조 기법을 사용하면서도 BER를 낮게 유지할 수 있다.
- 하지만 사용자가 기지국으로부터 멀어지는 방향으로 걸어감에 따라 SNR가 낮아지는 경우라면 BER가 허용할 수 없을 만큼 높아질 것이다.
따라서 일부 802.11 구현은 전송률 적응(rate adaptation) 기능을 갖고 있다.
이는 현재 또는 최근의 채널 상황에 맞추어 물리 계층 변조 기법을 적응적으로 선택할 수 있게 한다.
(TCP 혼잡 제어 기법과 유사)
전력 제어
802.11 표준은 노드가 신호 감지와 송수신 기능 및 다른 전력 소모가 많이 필요한
기능을 수행하는 데 사용되는 시간을 최소화할 수 있도록 하는 전원 제어 방법을 제공한다.
-
노드는 명시적으로
수면 상태(sleep state)와동작 상태(wake state)를 오가며 상태를 변화시킨다. -
노드는 802.11 프레임의
전력 제어 비트를 1로 세팅함으로써 AP에게 자신이 수면 모드로 돌입할 것임을 알린다. -
이때 노드 내의 타이머가 AP가 비컨 신호를 보내기 직전에 노드가 깨어날 수 있도록 설정된다.
-
AP는 수면 상태의 노드로 프레임을 전송하지 않으며, 해당 호스트에게 향하는 프레임을 나중에 전송하기 위해 버퍼에 저장한다.
-
수면 상태의 노드는 AP로부터 비컨 신호가 전송되기 직전에 깨어나 재빨리(250 µs) 완전한
활성 상태(active state)로 전환한다.- AP로부터 전송되는 비컨 신호에는 AP에 버퍼링 되어 있는 프레임들을 전달받아야 할 노드 목록이 포함되어 있다.
- 만약 깨어난 노드가 버퍼링 목록상에 없다면 그 노드는 다시 수면 상태로 들어갈 수 있다.
- 그렇지 않다면 해당 노드는 AP에게 폴링(polling) 메시지를 전송함으로써 저장되어 있는 프레임의 전송을 요구하게 된다.
7.3.6 PAN(Personal Area Network): 블루투스
블루투스(Bluetooth) 네트워크는 수십 미터 이하의 단거리에서 저전력, 저비용으로 동작한다.
따라서 WPAN(wireless personal area network) 또는 피코넷(piconet)이라고도 한다.
블루투스 네트워크에는 많은 링크 레벨 네트워킹 기술로 가득 차 있다.
- 시분할 다중화(TDM) 및 주파수 분할
- 랜덤 백오프
- 폴링
- 오류 검출과 정정
- ACK/NAK을 이용한 신뢰성 있는 전송
주파수 대역
무선 ISM(Industrial, Scientific, Medical) 밴드로서, 허가가 필요 없는 2.4 GHz 대역에서 동작한다.
즉, 같은 주파수 대역을 사용하는 가전제품들(전자레인지, 가정용 무선전화 등)과 경쟁하기 때문에 명시적으로 소음과 간섭 현상을 염두에 두고 설계되었다.
시분할 다중화(TDM)
블루투스 무선 채널은 625마이크로초의 시간 슬롯을 가진 TDM 방식으로 동작한다.
- 각 시간 슬롯마다 송신자는 79개 채널 중의 하나로 전송하며 슬롯마다 주파수 채널을 변경한다.
- 변경할 주파수 채널 선택은 난수에 의한
의사 무작위 추출(pseudo-random) 방식을 사용한다.
이런 형태의 주파수 변경 또는 주파수 도약 기법은 주파수 도약 확산 스펙트럼(frequency-hopping spread spectrum, FHSS) 방식으로 알려져 있다.
이를 통해 ISM 대역을 사용하는 다른 장치나 가전과의 간섭 현상이 일부 시간 슬롯으로 한정될 수 있다.
애드혹 네트워크
블루투스 네트워크는 인프라스트럭처(e.g., AP)가 없는 애드혹 네트워크다.
대신에 이들은 아래 그림과 같이 그들 스스로 최대 8개의 활성화된 노드로 구성된 피코넷을 형성해야 한다.

-
노드들 중 1개의 장치가
중앙 집중형 제어 노드로 지정되며, 나머지 장치들은 클라이언트가 된다. -
피코넷 안에는 8개의 활성화된 장치 외로, 최대 255개의
‘주차’된 장치가 있을 수 있다.- 이들은 절전을 위해 수면 상태인 경우가 많다.
- 수면 상태의 장치들은 스케줄링에 따라
중앙 집중형 제어 노드로부터의 비컨 메시지를 수신하기 위해 주기적으로 깨어난다. - 중앙 집중형 제어 노드에 의해 활성화된 장치로 변경되기 전에는 통신을 할 수 없다.
중앙 집중형 제어 노드
-
피코넷 내부의 다른 노드들을 제어한다.
- 시간 슬롯의 경게를 결정하는 클록의 관리
- 주파수 도약 순서 제공
- 피코넷으로의 클라이언트 진입 제어
- 클라이언트 장치의 전송 전력 제어(100 mW, 2.5 mW, 1 mW)
-
네트워크 진입이 허용된 클라이언트에게
폴링 방식을 사용하여 전송 권한을 부여한다.
이웃 탐색(neighbor discovery) 문제
블루투스 애드혹 네트워크는 AP 없이 스스로 네트워크를 구성해야 한다.
-
중앙 집중형 제어 노드가 블루투스 네트워크를 형성하려면 먼저 영역 내에 다른 어떤 블루투스 노드가 존재하는지 결정해야 한다.- 중앙 집중형 제어 노드는
연속적인 32개의 조회 메시지를 각기 다른 채널을 통해 브로드캐스트함으로써 이를 수행한다. - 클라이언트 장치는 이 조회 메시지를 수신하기 위해 주파수 중 하나를 선택해 수신을 기다린다.
- 중앙 집중형 제어 노드는
-
(1)
클라이언트 장치가 조회 메시지를 수신하면
(2) 다른 응답 노드와의 충돌을 피하기 위해 0~0.3초 사이의 임의의 시간 동안 대기한 후
(3) 자신의 ID를 포함하는 응답 메시지를 중앙 집중형 제어 노드에게 전송한다. -
블루투스 페이징(Bluetoothe paging)- 중앙 집중형 제어 노드가 주변의 가능한 클라이언트 노드들을 모두 발견했다면, 그중 피코넷에 가입을 원하는 클라이언트 노드들을 초대한다.
- 과정
- 중앙 집중형 제어 노드는 또다시
32개의 동일한 페이징 초대 메시지를 각각의 클라이언트 주소로 전송하는 것으로 페이징 단계를 시작한다.- 아직 클라이언트가 주파수 도약을 배우지 않았기 때문에, 메시지는 각기 다른 주파수를 통해 전송된다.
- 클라이언트가 초대 메시지에 대해 ACK로 응답하면 중앙 집중형 제어 노드는 아래의 정보들을 클라이언트들에게 전송한다.
- 주파수 도약 정보
- 클록 동기화 정보
- 활성화된 멤버의 주소
- 이후 중앙 집중형 제어 노드는 각 클라이언트를 폴링하여 클라이언트가 네트워크에 연결되어 있음을 확인하고
주파수 도약 패턴을 사용한 통신을 시작한다.
- 중앙 집중형 제어 노드는 또다시
7.4 셀룰러 네트워크: 4G, 5G
셀룰러(cellular) 네트워크
셀룰러(cellular)라는 용어는 셀룰러 네트워크의 영역이 전파 도달 능력에 따라 여러 개의 지리적 영역, 즉셀(cell)로 나뉜다는 사실에서 비롯되었다.- 각각의 셀은 셀 영역 안의
이동 장치(mobile device)와 신호를 주고받는기지국(base station)을 갖고 있다. - 하나의 셀이 담당하는 영역의 넓이는 여러 요소에 의해 영향을 받는다.
- 기지국과 단말기의 송신 강도
- 셀 내의 방해가 되는 건물
- 기지국 안테나의 설치 높이와 종류
7.4.1 4G LTE 셀룰러 네트워크: 구조 및 요소
아래 그림은 4G LTE(Long-Term Evolution) 네트워크 구조의 주요 요소를 보여준다.


이동 장치(mobile device)
셀룰러 통신 사업자의 네트워크에 연결되는 스마트폰, 태블릿, 랩톱 또는 IoT 장치 등이며, (고정된 온도 세선 또는 감시 카메라도 포함)
웹 브라우저, 지도 앱, 음성 및 화상회의 앱, 모바일 결제 앱 등이 실행되는 곳이다.
UE(User Equipment)- 전체
5계층 인터넷 프로토콜 스택을 구현한다. - NAT을 통해 얻을 수 있는
IP 주소를 갖고 있는 네트워크의 종단점이다. - 전 세계적으로 고유한
IMSI(International Mobile Subscriber Identity)라는 64비트의 식별자가 있다.- 가입자가 속한 국가 및 홈 네트워크를 포함하여 전 세계의 셀룰러 사업자 시스템에서 가입지를 식별한다. (MAC 주소와 유사함)
- 이는
SIM(Subscriber Identity Module) 카드에 저장된다.- SIM 카드는 가입자가 접속할 수 있는 서비스에 대한 정보와 해당 가입자의 키 정보를 암호화한다.
기지국(base station)
셀룰러 통신 사업자 네트워크의 가장자리에 위치하며, 무선 전파 자원 및 담당 영역에 속한 이동 장치를 관리할 책임이 있다.
- 이동 장치는 기지국과 상호작용함으로써 사업자의 네트워크에 접속된다.
- 무선 접속 네트워크에서 장치의 인증 및 자원(무선 채널)의 할당 기능을 조정한다.
- 무선 랜의 AP와는 다르게, 셀룰러 기지국에서만 수행하는 역할들은 다음과 같다.
- AP 이동 장치에서 게이트웨이까지 장치
고유의 IP 터널을 생성하고, 셀 간의 장치 이동성을 처리하기 위해 상호작용한다. - 인접한 기지국들은 셀 사이의 간섭을 최소화하기 위해 무선 스펙트럼을 관리하기 위한 상호 조정 기능을 수행한다.
- AP 이동 장치에서 게이트웨이까지 장치
홈 가입자 서버(Home Subscriber Server, HSS)
HSS의 네트워크를 홈 네트워크로 사용하는 이동 장치에 대한 정보를 저장하는 데이터베이스
- 제어 평면의 요소
- 이동 장치의 인증을 위해
이동성 관리 개체(MME)와 함께 사용된다.
S-GW(Serving Gateway), P-GW(Packet data Network Gateway)
S-GW와 PDN 게이트웨이(P-GW)는 이동 장치와 인터넷 사이에 위치하는 2개의 라우터다.
PDN 게이트웨이(P-GW)
- 이동 장치에
NAT IP 주소를 제공하고NAT 기능을 수행한다. - 외부 세계에서 P-GW는 다른 게이트웨이 라우터와 마찬가지로 보인다.
- 셀룰러 사업자의 LTE 네트워크 안에서의 이동 노드의 이동성은 P-GW 뒤에 있는 바깥 세상에는 감추어진다.
이러한 게이트웨이 라우터 외에도 셀룰러 사업자의 all-IP 코어에는 전통적인 라우터 기능을 수행하는 라우터들이 존재한다.
이동성 관리 개체(Mobility Management Entity, MME)
- 제어 평면의 요소
- HSS와 함께 네트워크에 접속하려는 장치를 인증하는 데 중요한 기능을 수행한다.
- 이동 장치와 PDN 인터넷 게이트웨이 간의 데이터 경로에 터널을 설정하고, 사업자의 셀룰러 네트워크 안에서 활성화된 이동 장치의 셀 위치 정보를 유지 관리한다.
그러나 이동 장치의 데이터그램이 인터넷으로 전송되거나 들어오는 전달 경로상에 있지 않다. (아래 그림에서 확인 가능)
LTE 데이터 평면과 제어 평면의 요소

인증(authentication)
- 네트워크와 네트워크에 부착된 이동 장치 간의 상호 인증
- 네트워크는 부착된 장치가 실제로 주어진 IMSI와 연관된 장치라는 것을 알아야 한다.
- 이동 장치는 자신이 부착하고 있는 네트워크가 또한 합법적인 셀룰러 사업자 네트워크라는 것을 알아야 한다.
MME가 이동 홈 네트워크에서 이동 장치와홈 가입자 서버 HSS사이의 중재자 역할을 한다.- 로컬 MME는 이동 장치로부터 접속 요청을 수신하고, 이동 장치의 홈 네트워크 HSS에 접촉한다.
- 이동 장치의 홈 HSS는 로컬 MME에 암호화된 정보를 충분히 반환한다.
경로 설정(path setup)
이동 장치로부터 게이트웨이 라우터로의 데이터 경로는
이동 장치와 기지국 사이의 무선 첫 번째 홉(first hop), 기지국과 서빙 게이트웨이(S-GW) 사이의 연결된IP 터널, 서빙 게이트웨이, PDN 게이트웨이로 구성된다.
터널은 MME의 제어하에 설정된다.- 장치가 다른 기지국으로 이동했을 때에 기지국에서 종료하는 터널 종단점만 변경되며, 다른 터널 종단점 및 터널과 관련된 서비스 품질은 변경되지 않는다.
셀 위치 추적(cell location tracking)
이동 장치가 셀들 사이를 이동함에 따라, 기지국들은 이동장치의 위치에서 MME를 갱신할 것이다.
하지만 이동 장치가 수면 모드에 있지만 그럼에도 불구하고 셀 사이를 이동하는 경우, 기지국은 더 이상 해당 장치의 위치를 추적할 수 없다.
이 경우 페이징이라고 하는 프로세스를 통해 깨어난 장치를 찾는 것은 MME의 책임이다.
2G에서 3G, 그리고 4G로의 네트워크 구조 변화
2G 셀룰러 구조
통신 사업자 코어 네트워크를 통한 회선 교환 음성 서비스를 지원

3G 시스템 구조
통신 사업자 코어 네트워크를 통해 회선 교환 음성 서비스와 패킷 교환 데이터 서비스를 별도로 지원

4G 시스템 구조

7.4.2 LTE 프로토콜 스택
4G LTE는 all-IP 네트워크 구조이다.
따라서 LTE 프로토콜 스택의 상위 계층은 IP, TCP, UDP, 그리고 다양한 애플리케이션 계층 프로토콜들로 구성된다.
아래 그림은 LTE 이동 노드, 기지국, 서빙 게이트웨이에서의 사용자 평면 프로토콜 스택을 보여준다.
여기서 볼 수 있듯, 사용자 평면 프로토콜 활동의 대부분은 이동 장치와 기지국 사이의 무선 링크에서 발생한다.

LTE는 이동 장치의 링크 계층을 3개의 부계층으로 나눈다.
1️⃣ 패킷 데이터 융합(Packet Data Convergence)
PDCP(Packet Data Convergence Protocol)는 무선 링크를 통해 전송되는 비트 수를 줄이기 위해 IP 헤더 압축을 수행한다.- LTE 이동 장치가 네트워크에 처음 연결될 때
이동 장치와 이동성 관리 개체(MME) 사이의 시그널링 메시지 교환을 통해 설정된 키를 사용한 암호화/복호화 기능을 수행한다.
2️⃣ 무선 링크 제어(Radio Link Control, RLC)
- 링크 계층 프레임에 적용하기에는 너무 큰
IP 데이터그램의 송신 시 단편화 및 수신시 재조립을 수행한다. ACK/NAK 기반 ARQ 프로토콜의 사용을 통한 링크 계층에서의 신뢰성 있는 데이터 전송을 수행한다.
3️⃣ 매체 접속 제어(Medium Access Control, MAC)
- 전송 스케줄링을 수행한다. 이는 무선 전송 슬롯의 요청 및 사용 제어를 의미한다.
- MAC 부계층은 추가적인 오류 감지/정정 기능을 수행하는데, 여기에는 중복 비트 사용을 통한 순방향 오류 정정 기능이 포함된다.
위의 그림은 또한 사용자 데이터 경로에서 터널의 사용을 보여준다.
-
터널은 MME 제어하에 이동 장치가 처음으로 네트워크에 연결될 때 설정된다.
-
두 종단점 사이의 각 터널에는 고유한
터널 종단점 식별자(tunnel endpoint identifier, TEID)가 있다.(1) 기지국은 이동 장치에서 데이터그램을 수신하면 TEID를 포함한
GPRS 터널링 프로토콜을 사용하여 데이터그램을 캡슐화하고
(2) UDP 세그먼트로 터널의 다른 쪽 끝에 있는서빙 게이트웨이로 보낸다. -
(1) 수신 측에서
기지국은 터널링된 UDP 데이터그램을 캡슐 해제하고
(2) 이동 장치로 향하는 IP 데이터그램을 추출하여
(3) 무선 홉을 통해 해당 IP 데이터그램을 이동 장치로 전달한다.
7.4.3 LTE 무선 접속 네트워크
LTE는 다운스트림 채널에서 주파수 분할 다중화와 시분할 다중화를 조합한 기술을 사용하는데,
이 기술은 직교 주파수 분할 다중화(frequency division multiplexing, OFDM)로 알려져 있다.
LTE에서 활성화된 각 이동 장치에는 하나 이상의 채널 주파수에서 / 하나 이상의 0.5 ms 시간 슬롯이 할당된다.
아래 그림은 4개의 주파수에서 8개의 시간 슬롯을 할당한 것을 보여준다.
- 각 주파수마다 10 ms 프레임 안에 구조화된 20개의 0.5 ms 슬롯
- 음영 표시 : 20 개의 슬롯 중 8개 슬롯의 할당된 모습

- 동일한 주파수에 있든 다른 주파수에 있든, 점점 더 많은 시간 슬롯을 할당함으로써 이동 장치는 점점 더 높은 전송 속도를 달성할 수 있다.
- 이동 장치 간의 슬롯 (재)할당은 밀리초마다 한 번씩 수행될 수 있다.
- 다른 변조 방식을 사용하면 전송률을 변경할 수도 있다.
이동 장치에 대한 특정 타임 슬롯의 할당은 LTE 표준에 의해 의무화되어 있지 않으나,
어떤 이동 장치가 주어진 주파수에서 주어진 시간 슬롯에 전송하도록 허용될 것인지에 대한 결정은 LTE 장비 공급자 또는 네트워크 운영자가 제공하는 스케줄링 알고리즘에 의해 결정된다.
7.4.4 추가적인 LTE 기능: 네트워크 접속과 전원 관리
네트워크 접속
이동 장치가 셀룰러 사업자의 네트워크의 접속하는 절차는 세 단계로 나뉜다.
1️⃣ 기지국과의 접속
- 이동 장치는 초기에 모든 주파수 대역의 모든 채널에서 기지국에 의해 5 ms마다 주기적으로 보로드캐스트되는
기본 동기화 신호를 검색한다. - 기본 동기화 신호가 발견되면 이동 장치는 해당 주파수를 유지하고
보조 동기화 신호를 찾는다.- 보조 동기화 신호에서 찾은 정보와 몇 가지 추가 단계를 거쳐서
이동 장치는 채널 대역폭, 채널 구성 및 해당 기지국의 셀룰러 사업자 정보화 같은 추가 정보를 찾을 수 있다.
- 보조 동기화 신호에서 찾은 정보와 몇 가지 추가 단계를 거쳐서
- 위 과정에서 찾은 정보로 무장한 이동 장치는 연결한
기지국을 선택하고, 해당 기지국과의무선 홉을 통해 제어 평면의 신호 연결을 설정할 수 있다.
2️⃣ 상호 인증
- 기지국이
MME(Mobility Management Entity)에 접속하여 상호 인증을 수행한다. (이는 8.8.2절에서 자세히 살펴봄) - 상호 인증을 통해 네트워크는 접속하려는 장치가 실제로 주어진 IMSI와 연관된 장치이며,
이동 장치는 접속 시도 중인 네트워크가 합법적인 셀룰러 사업자 네트워크임을 알 수 있다. - 상호 인증 단계가 완료되면 MME와 이동 장치가 서로 상호 인증되고, MME도 이동 장치가 연결된
기지국의 ID를 알게 된다.
3️⃣ 매체 이동 장치와 PDN 게이트웨이 간 경로 구성
MME는 PDN 게이트웨이(이동 장치에 대한 NAT 주소도 제공함), 서빙 게이트웨이, 기지국에 연결하여 아래 그림에 포시된 2개의 터널을 설정한다.- 이 단계가 완료되면 이동 장치는 기지국과 연결된 이 터널을 통해 인터넷과 IP 데이터그램을 송수신할 수 있다.

전력 관리: 수면 모드
무선 장치는 전력 소모를 최소화하기 위해 (= 데이터 송수신 및 채널 감지를 위해 이동 장치의 회로가 켜져 있어야 하는 시간을 최소화하고자)
송수신하지 않을 때는 수면 상태로 들어갈 수 있다.
4G LTE에서 잠자고 있는 이동 장치는 두 가지 수면 상태 중 하나에 있을 수 있다.
불연속 수신 상태(discontinuous reception state)유휴 상태(idle state)
불연속 수신 상태(discontinuous reception state)
- ‘약한 수면’
- 일반적으로 수백 밀리초의 비활성 기간 이후에 시작되는 단계이다.
- 이동 장치와 기지국은 이동 장치가 깨어나기 위한 주기적인 시간을 미리 예약한 후,
주기적으로 기지국에서 이동 장치로의 다운스트림 전송을 위해 채널을 능동적으로 모니터링한다.- 그러나 이 예정된 스케줄링 시간과는 별개로 이동 장치의 무선 부분은 수면 상태일 수 있다.
유휴 상태(idle state)
- ‘깊은 수면’
- 이 상태의 잠은 너무 깊어, 이동 장치가 수면 상태인 동안 통신 사업자 네트워크의 새로운 셀로 이동하는 경우 이전에 결합되었던 기지국에 알릴 필요가 없다.
- 따라서 이 깊은 잠에서 깨어날 때 이동 장치는
MME가 이동 장치가 과거에 마지막으로 결합했던 기지국 근처의 다른 기지국들로 브로드캐스트하는페이징 메시지를 확인하기 위해 (잠재적으로 새로운) 기지국과의 결합을 재설정해야 한다.- 이러한
제어 평면 페이징 메시지는 기지국에 의해 해당 셀 내의 모든 이동 장치로 브로드캐스트된다. - 이는 어떤 이동 장치가 패킷을 수신하기 위해 완전히 깨어나야 하고 기지국에 대한 새로운 데이터 평면 연결을 재성정해야 하는지를 나타낸다.
- 이러한
7.4.5 글로벌 셀룰러 네트워크: 네트워크들의 네트워크
‘네트워크들의 네트워크’인 글로벌 셀룰러 네트워크는 어떻게 구성될까?
아래 그림은 사용자의 스마트폰이 4G 기지국을 통해 홈 네트워크(home network)에 연결되는 모습을 보여준다.

-
사용자 홈 네트워크는 홈 네트워크에 있는 하나 이상의
게이트웨이 라우터를 통해 다른 셀룰러 통신 사업자들의 네트워크와 글로벌 인터넷으로 연결된다. -
모바일 네트워크 자체는 공용 인터넷 또는
IPX(Internet Protocol Packet eXchange) 네트워크를 통해 상호연결된다.IPX는 특히 ISP 간 네트워크를 연결하고 데이터를 교환하는 피어링을 위한 인터넷 교환 지점과 유사하게
셀룰러 통신 사업자를 상호연결하기 위한 관리 네트워크다.
7.4.6 5G 셀룰러 네트워크
궁극적인
광역 데이터 서비스는 모든 지역에서 지원되며 유비쿼터스, 기가비트 연결 속도, 초저지연, 사용자 및 장치 수에 대한 제한 없는 서비스가 될 것이다.
-
5G는 4G에 비해 대략 10배의 최대 비트 전송률, 10배 빠른 지연 시간, 그리고 100배 이상의 트래픽 용량을 제공할 것으로 예측된다. -
사용 주파수
- FR1(450 MHz~6 GHz)
- FR2(24 GHz~52 GHz) :
밀리미터파 주파수(millimeter wave frequency)- 장점 : 훨씬 빠른 데이터 속도를 허용한다.
- 단점
- 기지국에서 수진기까지의 도달 범위가 훨씬 짧기에 농촌 지역에 부적합하며, 도시 지역에는 더 밀집된 기지국 배치를 필요로 한다.
- 대기 간섭에 매우 취약하다.
-
5G의
물리 계층(즉, 무선)측면은 LTE와 같은 4G 이동 통신 시스템과 역방향 호환이 되지 않는다.- 기지국 업그레이드나 소프트웨어 업그레이드를 통해 기존 스마트폰을 지원할 수가 없어,
5G로의 전환을 위해 이동 통신 사업자는 물리적 인프라에 상당한 투자를 해야 한다.
- 기지국 업그레이드나 소프트웨어 업그레이드를 통해 기존 스마트폰을 지원할 수가 없어,
표준
eMBB(Enhanced Mobile Broadband)
- 증가된 대역폭과 적당한 지연 시간 감소를 제공한다. (4G LTE와 비교할 때 더 높은 다운로드 및 업로드 속도를 위함)
URLLC(Ultra Reliable Low-Latency Communications)
- 지연 시간에 매우 민감한 애플리케이션을 대상으로 한다. (e.g., 공장 자동화 및 자율 주행)
- 1 ms의 지연 시간을 목표로 한다.
mMTC(Massive Machine Type Communications)
- 감지, 측정 및 모니터링 애플리케이션을 위한 협대역 접속 유형이다.
- IoT 장치의 네트워크 연결 장벽을 낮추기 위해 전력 요구사항을 줄이는 데 중점을 두고 있다.
5G와 밀리미터파 주파수
24 GHz~52 GHz 대역의 밀리미터파 주파수는 4G에 비해 데이터 용량이 100배 증가할 수 있는 잠재력을 제공한다.
데이터 용량(capacity)
=셀 밀도(cell density, 셀/km^2 단위)
×가용 스펙트럼(available spectrum, Hz 단위)
×스펙트럼 효율(spectral efficiency, 각 기지국이 사용자와 얼마나 효율적으로 통신할 수 있는지, bps/Hz/셀 단위)
-
밀리미터 주파수는 4G LTE 주파수보다 범위가 훨씬 짧기에 더 많은 기지국이 필요하다. → 셀 밀도 증가
-
5G FR2는 4G LTE(최대 약 2 GHz)보다 훨씬 더 큰 주파수 대역(52 - 24 = 24 GHz)에서 작동하기 때문에 사용 가능한 스펙트럼이 더 많다.
-
스펙트럼 효율성을 두 배 늘리기 위해 17배의 전력 증가가 필요하지만, 5G는 그 대신 각 기지국에서 다중 안테나를 사용하는
MIMO 기술을 사용한다.- 신호를 모든 방향으로 브로드캐스트하는 대신, 각 MIMO 안테나는 빔 형성을 통해 사용자에게 신호를 직접 전송한다.
- 이를 통해 동일한 주파수 대역에서 동시에 10~20명의 사용자에게 전송할 수 있다.
그러나 밀리미터파 신호는 건물과 나무에 의해 쉽게 차단되기 때문에
기지국과 사용자 간의 범위 간격을 메우기 위해서 스몰 셀 스테이션(small cell station)이 필요하다.
5G 코어 네트워크(5G Core network)
5G 모바일 음성, 데이터 및 인터넷 연결을 모두 관리하는 데이터 네트워크
- 인터넷 및 클라우드 기반 서비스와 더 잘 통합되도록 재설계되었다.
- 네트워크 전체에 분산 서버와 캐시를 포함하여 지연 시간을 줄였다.
- 새로운 5G 코어 사양은 모바일 네트워크가 다양한 성능으로 다양한 서비스를 지원하는 방식에 주요한 변화를 도입했다.
- 종단점 장비로부터의 데이터 트래픽을 중계
- 장치를 인증
- 장치의 이동성을 관리
- 모든 네트워크 요소(이동 장치, 셀, 기지국, MME, HSS, 서빙 게이트웨이, PDN 게이트웨이)를 포함한다.
5G 코어 아키텍처
5G 코어는 제어 평면과 사용자 평면의 완전한 분리를 위해 설계되었고, 이는 순전히 가상화된 소프트웨어 기반 네트워크 기능으로 구성된다.
따라서 사업자가 다양한 5G 애플리케이션의 다양한 요구사항을 충족할 수 있는 유연성을 제공한다.
5G 핵심 네트워크 기능들
사용자 평면 기능(User-Plane Function, UPF)
제어와 사용자 평면 분리를 통해 패킷 처리를 네트워크 가장자리로 보내 분산시킬 수 있다.
접속 및 이동성 관리 기능(Access and Mobility Management Function, AMF)
5G 코어는 기본적으로 4G MME를 AMF와 SMF의 두 가지 기능 요소로 분리한다.
AMF는 최종 사용자 장치로부터 모든 연결 및 세션 정보를 수신하지만, 연결 및 이동성 관리 작업만 처리한다.
세션 관리 기능(Session Management Function, SMF)
세션 관리는 SMF에 의해 처리된다.
제어와 분리된 데이터 평면과의 상호작용을 담당하며, IP 주소 관리를 담당하고 DHCP 역할을 수행한다.
2020년을 기준으로, 5G는 적용 초기 단계이며 많은 5G 표준들이 아직 확정되지 않았다.
5G가 궁극의 광역 무선 서비스를 향한 커다란 발걸음이 될지는 시간이 지나야 알 수 있을 것이다.
7.5 이동성 관리: 원칙
💡 이동 장치 = 시간에 따라 네트워크로의 접속점을 변경하는 노드
7.5.1 장치 이동성: 네트워크 계층의 관점
네트워크 계층의 관점에서 본 다양한 이동성 스펙트럼
물리적인 이동 장치가 네트워크 접속점을 이동할 때 그 장치가 얼마나 활성화된 상태인가에 따라 다양한 문제들을 네트워크 계층에 제기한다.

(a) 접속 네트워크 간 장치 이동성, 이동 중에는 전원을 끔
이곳에는 네트워크 사이를 물리적으로 이동하지만 이때 이동 장치의 전원을 끄고 움직이는 이동 사용자가 위치한다.
전원이 켜져 있는 동안 하나의 네트워크에만 접속하며 이동하지 않고 머물기 때문에, 네트워킹 관점에서 이 장치는 이동 중인 것, 즉 모바일이 아니다.
(b) 하나의 동일한 무선 접속 네트워크 안에서의 장치 이동성
이동 장치는 물리적으로 이동 가능하지만 동일한 접속 네트워크에 연결된 상태를 유지한다.
이러한 장치도 네트워크 계층 관점에서는 모바일이 아니다.
또한 장치가 동일한 802.11 AP 또는 LTE 기지국과 연결된 상태로 유지되는 경우, 해당 장치는 링크 계층 관점에서도 모바일이 아니다.
네트워크 관점에서 장치 이동성에 대한 관심은 여기서부터 시작한다.
(c) 진행중인 연결을 유지하며 동일 통신 사업자 네트워크 내에서의 장치 이동성
- 이동 장치는 TCP와 같은 상위 레벨 연결을 유지하고, IP 데이터그램을 계속 보내고 받는 상태에서
- 접속 네트워크(802.11 WLAN 또는 LTE 셀)를 변경한다.
여기서 네트워크는 장치가 WLAN 또는 LTE 셀 간에 이동할 때 핸드오버(handover)를 제공해야 한다.
(하나의 AP/기지국에서 다른 AP/기지국으로 데이터그램을 책임지고 전달하는 것)
(d) 진행 중인 연결을 유지하며 여러 통신 사업자 네트워크 간의 장치 이동성
이동 장치가 여러 사업자 네트워크들 사이를 로밍하는 경우이다.
이때 사업자들은 핸드오버를 함께 협력해서 처리해야 하므로 핸드오버 절차가 상당히 복잡해진다.
7.5.2 홈 네트워크 및 방문 네트워크로의 로밍
모든 셀룰러 사용자는 자신이 가입한 통신 사업자라는 '집'이 있으며,
HSS(Home Subscriber Service)가 아래와 같은 가입자들에 대한 다양한 정보들을 저장하고 있음을 앞서 배웠다.
- 가입자가 접속할 수 있는 서비스에 대한 정보
- 통신에 사용되는 암호화 키
- 요금 청구 및 과금 정보
이동 장치가 홈 네트워크(home network)가 아닌 다른 셀룰러 네트워크와 연결되면,
그 장치는방문 네트워크(visited network)에서로밍(roaming)중이라고 한다.
이때 홈 네트워크와 방문 네트워크 간의 조정 작업이 필요하다.
이동 장치가 홈 네트워크를 갖는다는 개념은 중요한 장점 두 가지를 제공한다.
- 홈 네트워크는 해당 장치에 대한 정보를 제공할 수 있는 단일한 위치를 제공한다.
- 로밍 중인 이동 장치와의 통신을 위한 조정 지점의 역할을 수행할 수 있다.
7.5.3 이동 장치로의 직접 라우팅과 간접 라우팅
이동 네트워크 구조의 요소는 다음과 같다.
이를 통해 인터넷에 연결된 한 호스트가 직면한 난제를 살펴보자.
(장치 이동성을 지원하기 위한 근본적인 문제와 기본적인 해결방안들은 셀룰러 네트워크와 인터넷 모두에 동일하게 적용할 수 있음)

호스트는 통신자(correspondent)라고 불리며,
홈 네트워크에 있거나 방문 네트워크에 로밍 중인 어떤 이동 장치와 통신하기를 원한다.
모든 이동 장치에는 고유한 식별자가 있다고 가정한다.
- 4G LTE 셀룰러 네트워크에서 이 식별자는
IMSI(International Mobile Subscriber Identity)와 관련 전화번호가 될 것이고,
이 정보는 SIM 카드에 저장된다. - 인터넷 사용자의 경우 이 식별자는 이동 IP 구조와 마찬가지로 홈 네트워크의 주소 범위에 있는 영구적인 IP 주소가 될 것이다.
통신자가 보낸 데이터그램이 해당 이동 장치에 도달할 수 있도록 하기 위해서 네트워크 구조에서는 세 가지의 기본적인 접근 방법이 있다.
이 중 후자의 두 가지 방법은 실제로 채택되어 사용되고 있다.
- 기존 IP 주소 인프라 활용
- 이동 장치로의 간접 라우팅
- 이동 장치로의 직접 라우팅
1️⃣ 기존 IP 주소 인프라 활용
과정
방문 네트워크에 있는 이동 장치로 라우팅하는 가장 간단한 방법은 기존의 IP 주소체계를 사용하는 것이다.
-
방문 네트워크는 이동 장치의 영구적인 32비트 IP 주소를 광고하여
데이터그램을 해당 이동 장치로 전달하는 데 사용할 경로가 있음을 다른 네트워크들에게 알린다.ISP는BGP를 통해 도달 가능한 네트워크의 CIDR화된 주소 범위를 열거하여 목적지 네트워크에 대한 경로를 광고한다.- 이때 방문 네트워크는 매우 구체적인 주소를 광고함으로써 특정 이동 장치가 자신의 네트워크에 존재한다는 사실을 다른 모든 네트워크에게 알릴 수 있다.
-
인접 네트워크들은 라우팅 정보 및 포워딩 테이블을 갱신하는 일반적인 BGP 절차를 사용해 네트워크 전체에 이 정보를 전파한다.
장점
네트워크 계층 인프라를 전혀 변경할 필요가 없다.
다른 네트워크들은 이동 장치의 위치를 알고 있으며,
포워딩 테이블들이 데이터그램을 방문 네트워크로 안내하기 때문에 데이터그램을 그 이동 장치로 쉽게 라우팅할 수 있다.
단점
확장성
네트워크 라우터는 잠재적으로 수십억 개의 이동 장치에 대한 포워딩 테이블 항목을 유지 관리해야 하고,
다른 네트워크로 로밍할 때마다 장치 관련 항목을 갱신해야 한다.
대안
좀 더 실용적이며 실제로 채택되고 있는 접근 방법은
이동 장치의 홈 네트워크를 통하여 이동성 관리 기능을 네트워크 코어에서 네트워크 가장자리로 밀어내어 옮기는 것이다.
이동 장치의 홈 네트워크에 있는 이동성 관리 개체인 MME는 이동 장치가 위치한 방문 네트워크를 추적할 수 있다.
(이 정보는 HSS의 데이터베이스에 있을 수 있음)
이동 장치가 위치한 네트워크를 갱신하기 위해서는 방문 네트워크와 홈 네트워크 사이에서 동작하는 프로토콜이 필요하다.
이동 장치는 방문 네트워크의 IP 주소가 필요하다.
여기에는
(1) 이동 장치의 홈 네트워크와 연결된 영구적인 IP 주소,
(2) 방문 네트워크의 주소 범위에서 새로운 주소의 할당
(3) NAT를 통한 IP 주소의 제공 등이 포함된다.
- (2), (3)의 경우, 이동 장치는 홈 네트워크의 HSS에 저장된 영구적인 식별자 외에 임시 식별자(새로 할당된 IP 주소)를 갖게 된다.
- NAT 주소를 사용하는 경우,
이동 장치로 향하는 데이터그램은 방문 네트워크의 NAT 게이트웨이 라우터에 도달하게 되면 NAT 주소 변환을 거쳐 해당 이동 장치로 전달된다.
그렇다면 데이터그램은 어떻게 주소를 찾아서 이동 장치로 전달될 수 있을까?
네트워크의 모든 라우터가 아닌 홈 네트워크의 HSS만이 이동 장치의 위치를 알고 있기 때문에,
단순히 목적지 이동 장치의 영구 주소를 데이터그램의 목적지로 지정하는 것은 안 된다.
이것에 대한 해결책으로는 직접 라우팅과 간접 라우팅이 있다.
2️⃣ 이동 장치로의 간접 라우팅
간접 라우팅(indirect routing) 방식에서 통신자는 이동 노드가 홈 네트워크에 있는지 또는 방문 네트워크에 있는지 모르는 상태로
데이터그램의 목적지 주소를 단순히 이동 노드의 영구적인 주소로 설정한 후 네트워크로 전송한다.
즉, 송신하는 통신자는 이동 장치의 현재 이동 상태를 몰라도 되며, 이는 통신자에게 이동성에 대한 완전한 투명성을 제공한다.
홈 네트워크를 통한 재라우팅(rerouting)

-
데이터그램은 이동 장치의 홈 네트워크로 전달된다. -
(1)
홈 네트워크 게이트웨이는 데이터그램을 가로채서HSS와 상의하여 이동 장치가 있는 방문 네트워크를 결정한 후
(2) 해당 데이터그램을 방문 네트워크의게이트웨이 라우터로 전달한다.HSS: 방문 네트워크와 상호작용하여 이동 장치의 위치를 추적하고 홈 네트워크의 게이트웨이 라우터를 관리한다.게이트웨이 라우터: 해당 네트워크에 집이 있지만 현재 방문 네트워크에 위치해있는 장치를 목적지 주소로 하는 데이터그램이 도착하는지 확인한다.
-
방문 네트워크의
게이트웨이 라우터는 데이터그램을 이동 장치로 전달한다.- NAT 변환이 사용된다면 방문 네트워크 게이트웨이 라우터가 NAT 변환을 수행한다.
아래의 두 가지 목표는 홈 네트워크 게이트웨이가 통신자의 원래 데이터그램을 캡슐화하여 더 큰 데이터그램에 넣게 함으로써 충족될 수 있다.
홈 네트워크 게이트웨이는 도착한 데이터그램을방문 네트워크 게이트웨이 라우터에게 전달해야 한다.- 데이터그램을 수신하는 애플리케이션 입장에서는 데이터그램이 홈 네트워크를 통해 전달되었다는 사실을 인식하지 않는 것이 좋기에
통신자의 데이터그램을 원래 그대로 두는 것이 바람직하다.
더 큰 데이터그램은 주소가 지정된 방문 네트워크의 게이트웨이 라우터에 전달되고,
이후 캡슐화를 해제하여 더 큰 데이터그램 내에서 원래의 데이터그램을 복원하여 이동 장치로 전달된다. (이는 위 3단계에서 진행됨)
이동 장치가 통신자에게 데이터그램을 보내는 것을 고려해보자.
그림의 맥락에서 이동 장치는 NAT 변환을 수행하기 위해 방문 게이트웨이 라우터를 통해 데이터그램을 전달해야 하는데,
방문 게이트웨이 라우터는 어떻게 데이터그램을 통신자에게 전달할까?
여기에는 아래처럼 두 가지 옵션(4a, 4b)가 있다.

- 4a : 데이터그램을 홈 게이트웨이 라우터로 다시 터널링하여 거기에서 다시 통신자에게 전달할 수 있다.
- 4b : 데이터그램은 방문 네트워크에서 통신자로 직접 전달될 수 있다. (
로컬 브레이크 아웃(local breakout))
이동성 지원에 필요한 네트워크 계층의 기능
✅ 이동 장치에서 방문 네트워크로의 프로토콜
이동 장치는 방문 네트워크와 결합해야 하며, 마찬가지로 방문 네트워크를 떠날 때 결합을 해제해야 한다.
✅ 방문 네트워크에서 홈 네트워크로의 HSS 등록 프로토콜
방문 네트워크는 홈 네트워크의 HSS에 이동 장치의 위치를 등록해야 하며,
HSS에서 얻은 정보를 장치 인증을 수행하는 데 사용해야 한다.
✅ 홈 네트워크 게이트웨이와 방문 네트워크 게이트웨이 라우터 사이의 데이터그램 터널링 프로토콜
송신 측은 통신자의 원래 데이터그램을 새로운 데이터그램 내에 캡슐화한 후 목적지로 전달한다.
수신 측에서는 게이트웨이 라우터에서 캡슐화 해제 및 NAT 변환을 거쳐 원래 데이터그램을 이동 장치로 전달하는 작업을 수행한다.
삼각 라우팅 문제(triangle routing problem)
간접 라우팅 방식은
이동 장치를 목적지로 하는 데이터그램은 통신자와 로밍 중인 이동 장치 사이에 훨씬 더 효율적인 경로가 있는 경우에도
일단 먼저 홈 네트워크로 전달된 다음 방문 네트워크로 전달되어야 하기 때문에 비효율성을 가지고 있다.
3️⃣ 이동 장치로의 직접 라우팅
직접 라우팅(direct routing) 방식은 간접 라우팅 방식의 삼각 라우팅 문제를 해결할 수 있으나, 추가적인 복잡도가 발생한다.

-
1, 2단계 : 통신자는 먼저 이동 장치가 위치해 있는 방문 네트워크를 발견한다.
- 이는
이동 장치의 홈 네트워크 HSS에 질의함으로써 수행되고,
이동 장치의 방문 네트워크가 HSS에 등록되어 있는 것으로 가정한다.
- 이는
-
3단계 : 통신자는 데이터그램을 이동 장치의 방문 네트워크로 직접 터널링해서 전달한다.
문제점
-
통신자가 HSS에게 이동 장치의 방문 네트워크를 질의하기 위해서(1, 2단계),
이동 사용자 위치 파악 프로토콜이 필요하다. -
이동 장치가 이동할 때마다 통신자를 미리 갱신해주려면 추가적인 프로토콜 매커니즘이 필요하다.
이동 장치가 한 방문 네트워크에서 다른 방문 네트워크로 이동하면
통신자는 데이터그램을 새로운 방문 네트워크로 전달해야 한다는 것을 어떻게 알 수 있을까?간접 라우팅에서는 홈 네트워크 HSS를 갱신하고, 터널의 종단점을 새로운 방문 네트워크의 게이트웨이 라우터로 변경함으로써 문제를 쉽게 해결한다.직접 라우팅에서 통신자는 세션이 시작될 때 HSS에게 단 한 차례만 문의하며 이후에 변화된 정보를 알기 어렵기에 문제의 해결이 쉽지 않다.
7.6 실전에서의 이동성 관리
7.6.1 4G/5G 네트워크에서의 이동성 관리
오늘날의 4G/5G 네트워크에서의 이동성을 지원하기 위해 어떤 요소들이 어떻게 상호 협력하면서 동작하는지 알아보자.
차량에 탑승한 이동 사용자가 스마트폰으로 4G/5G 방문 네트워크에 접속하여 원격 서버로부터 HD 비디오 스트리밍을 시작한 후,
하나의 4G/5G 기지국 셀 영역으로부터 다른 셀 영역으로 이동하는 시나리오를 생각해보자.

-
이동 장치와 기지국 결합
- 이동 장치는 방문 네트워크의 기지국과 결합한다.
-
이동 장치에 대한 네트워크 요소의 제어 평면 구성
- 방문 네트워크 및 홈 네트워크는 이동 장치가 방문 네트워크에 존재함을 나타내는 제어 평면 상태를 설정한다.
-
이동 장치에 대한 포워딩 터널의 데이터 평면 구성
- 방문 네트워크와 홈 네트워크는 홈 네트워크의 PDN 게이트웨이를 통한 간접 라우팅을 사용하여,
이동 장치와 스트리밍 서버가 IP 데이터그램을 송수신할 수 있는 터널을 설정한다.
- 방문 네트워크와 홈 네트워크는 홈 네트워크의 PDN 게이트웨이를 통한 간접 라우팅을 사용하여,
-
한 기지국에서 다른 기지국으로의 이동 장치 핸드오버
- 이동 장치는 한 기지국에서 다른 기지국으로 핸드오버를 통한 방문 네트워크 결합 지점을 변경한다.
1️⃣ 기지국 결합
-
이동 장치는 점차 이러한 기지국에 대한 더 많은 정보를 획득한다.
- 이동 장치는 해당 지역의 기지국에서 전송되는 기본 신호에 대해 모든 주파수 영역에서 수신한다.
-
이동 장치는 궁극적으로 결합할 기지국을 선택하고, 해당 기지국과 제어 신호 채널을 초기 설정한다.
- 결합의 일부로서 이동장치는 홈 네트워크 및 다른 가입자 정보, IMSI(고유 식별자)를 기지국에 제공한다.
2️⃣ 이동 장치에 대한 네트워크 요소의 제어 평면 구성
이동 장치와 기지국 간 신호 채널이 설정되면 기지국은 방문 네트워크의 MME와 접촉할 수 있다.
MME는 이동 노드를 대신하여 상태를 설정하기 위해 홈 네트워크 및 방문 네트워크 모두에서 여러 가지 4G/5G 요소들을 참고하고 구성한다.
- MME는 IMSI 및 이동 장치에서 제공한 다른 정보를 사용하여 해당 가입자에 대한 인증, 암호화, 가용한 네트워크 서비스 정보를 검색한다.
- 해당 정보는 MME의 로컬 캐시에 있거나, 이동 장치가 최근에 접속한 다른 MME에서 검색되거나, 이동 장치의 홈 네트워크에 있는 HSS에서 검색될 수 있다.
- MME는 이동 장치가 현재 방문 네트워크에 존재함을 홈 네트워크에 있는
HSS에 알리고, HSS는 데이터베이스를 갱신한다. - 기지국과 이동 장치는 둘 사이에 설정될 데이터 평면 채널에 대한 매개변수를 선택한다. (제어 평면 시그널링 채널이 이미 작동 중임)
3️⃣ 이동 장치에 대한 포워딩 터널의 데이터 평면 구성
MME는 아래 그림과 같은 이동 장치에 대한 데이터 평면을 구성한다.

2개의 터널
- 기지국과 방문 네트워크의 서빙 게이트웨이 사이
- 해당 서빙 게이트웨이와 이동 장치의 홈 네트워크에 있는 PDN 게이트웨이 라우터 사이
→ 4G LTE는 이런 형태의 대칭 간접 라우터를 구현한다.
이동 장치에서 들어오고 나가는 모든 트래픽은 장치의 홈 네트워크를 통해 터널링된다.
4G/5G 터널은 GPRS 터널링 프로토콜(GPRS Tunneling Protocol, GTP)를 사용한다.
GTP 헤더의 TEID(Tunnel Endpoint ID)는 데이터그램이 속한 터널을 나타내므로, 터널 종단점 간에 GTP에 의해 여러 개의 흐름이 다중화 및 역다중화될 수 있다.
4️⃣ 한 기지국에서 다른 기지국으로의 이동 장치 핸드오버
핸드오버(handover)는 이동 장치가 한 기지국에서 다른 기지국으로 결합을 변경할 때 발생한다.
- 이동 장치가 송수신하는 데이터그램은 초기에(핸드오버 전에) 연결된 현 기지국(출발지 기지국)을 통해 이동장치로 전달된다.
- 핸드오버 이후에는 또 다른 기지국(목적지 기지국)을 통해 이동 장치로 라우팅된다.
기지국 간의 핸드오버는 이동 장치가 새로운 기지국과 송수신하게 될 뿐만 아니라
기지국 축면에서 서빙 게이트웨이-기지국 간 터널의 변경을 초래한다.
이동 장치는 주기적으로 현재 기지국의 비컨 신호와 들을 수 있는 주변 기지국의 신호 특성을 측정한다.
측정 결과는 이동 장치의 현 기지국(출발지 기지국)에 초당 한 번 또는 두 번 보고되는데,
측정 결과와 주변 셀의 이동 통신 부하 및 기타 요인에 기초하여 현재 기지국은 핸드오버를 시작하도록 요구할 수 있다.
아래 그림은 이동 장치의 출발지 기지국에서 목적지 기지국으로의 핸드오버 절차를 나타낸다.

-
현 기지국(출발지 기지국)은 목적지 기지국을 선택하고, 목적지 기지국으로
핸드오버 요청 메시지를 보낸다. -
(1) 목적지 기지국은 해당 이동 장치와 그 서비스 품질 요구사항을 지원하기 위한 충분한 자원이 있는지 확인한다.
(2) 존재한다면 해당 이동 장치를 위한 무선 접속 네트워크의 채널 자원(e.g., 시간 슬롯) 및 기타 자원을 미리 할당한다.
(3) 목적지 기지국은 출발 기지국에게
핸드오버 요청 승인 메시지로 응답하는데, 여기에는 이동 장치가 새로운 기지국과 결합하는 데 필요한 모든 정보가 포함되어 있다. -
출발지 기지국은 핸드오버 요청 승인 메시지를 수신하고,
목적지 기지국의 ID 및 채널 접속 정보를 이동 장치에게 알려준다.- 이 시점에서 이동 장치는 새로운 목적지 기지국과 데이터그램을 송수신하기 시작할 수 있다. (즉, 이동 장치의 입장에서는 핸드오버가 완료된 것)
- 네트워크 입장에서는 해야 할 일이 좀 더 남아 있다.
-
(1) 출발지 기지국은 데이터그램을 이동 장치로 전송하는 것을 중지하고, 대신 수신한 터널링된 데이터그램을 목적지 기지국으로 전달한다.
(2) 목적지 기지국은 이들 데이터그램을 나중에 이동 장치로 전달한다.
-
(1) 목적지 기지국은 MME에게 자신이 이동 장치를 서비스하는 새로운 기지국이 될 것임을 알린다.
(2) MME는 다시 서빙 게이트웨이와 목적지 기지국에 차례로 신호를 보내
이전 기지국(출발지 기지국)이 아닌 새로운 기지국(목적지 기지국)에서 종료하도록 서빙 게이트웨이-기지국 터널 종단점을 재설정한다. -
목적지 기지국은 터널이 재구성되었음을 이전 기지국(출발지 기지국)으로 다시 확인해주어,
이전 기지국이 해당 이동 장치와 관련된 자원을 해제할 수 있게 한다. -
이 시점에서 목적지 기지국도 이동 장치에 데이터그램 전달을 시작할 수 있다.
(핸드오버 기간에 출발지 기지국에서 목적지 기지국으로 전달된 데이터그램을 포함함)또한 이동 장치로부터 외부로 나가는 데이터그램을 수신하여 이를 터널을 통해 서빙 게이트웨이로 보낼 수 있다.
오늘날의 4G LTE 네트워크의 로밍 구성은 미래의 5G 네트워크에서도 사용될 전망이지만,
5G 네트워크는 훨씬 더 작은 셀 크기로 조밀해질 것이다.
따라서 많은 실시간 5G 애플리케이션에서 작은 핸드오버 시간이 매우 중요해질 것이다.
셀룰러 네트워크 제어 평면을 SDN 프레임워크(5장)로 변경한다면 고용량, 저지연의 5G 네트워크 제어 평면을 구현할 수 있을 것으로 믿어진다.
7.6.2 이동 IP
오늘날의 인터넷에는 4G/5G 셀룰러 네트워크에서 접했던 것 같은 ‘이동 중인’ 사용자를 위한 서비스 유형을 제공하는 널리 사용되는 인프라는 없다.
그러나 이동 IP 구조 및 프로토콜은 20년 이상 인터넷 RFC로서 표준화되어 왔으며, 새롭고 더 안전하며 일반화된 이동성 지원에 대한 연구가 계속되고 있다.
4G/5G와 이동 IP 구조의 유사성

이동 IP 표준의 세 가지 주요 부분
✅ 에이전트 발견
이동 IP는 외부 에이전트가 네트워크에 결합하려는 이동 장치에게 이동성 지원 서비스를 광고하는 데 사용하는 프로토콜을 정의한다.
이러한 서비스에는 이동 장치가 외부 네트워크에서 사용하기 위한 COA(care-of-address) 제공,
이동 장치의 홈 네트워크에 있는 홈 에이전트에 이동 장치 등록, 이동 장치로의 데이터그램 송수신 등과 기타 서비스가 포함된다.
✅ 홈 에이전트와의 등록
이동 IP는 이동 장치의 홈 에이전트에 COA를 등록 및 취소하기 위해 이동 장치 및 외부 에이전트에서 사용하는 프로토콜을 정의한다.
✅ 데이터그램의 간접 라우팅
이동 IP는 데이터그램이 홈 에이전트에 의해 이동 장치로 전달되는 방식을 정의한다.
여기에는 데이터그램을 전달하고 오류를 처리하기 위한 규칙과 여러 형태의 터널링이 포함된다.
7.7 무선과 이동성: 상위 계층 프로토콜에의 영향
이 장에서는 링크 계층(페이딩이나 다중 경로, 숨은 터미널 등과 같은 무선 채널의 특성)과
네트워크 계층(네트워크 접속점이 동적으로 바뀌는 이동 사용자의 존재)에서 무선 네트워크와 유선 네트워크 간에 상당한 차이가 있음을 알았다.
그렇다면 트랜스포트 계층과 애플리케이션 계층에도 차이가 있을까?
트랜스포트 계층 프로토콜: TCP
어떤 면에서는 무선 링크가 존재하는 네트워크에서 TCP와 UDP가 사용될 수 있다는 생각이 맞을 수도 있다.
그러나 특히 TCP 트랜스포트 프로토콜은 유선 네트워크와 무선 네트워크에서 전혀 다른 성능을 보이는 경우가 많으며, 성능 면에서 그 차이가 뚜렷하다.
TCP는 송신자와 수신자 간의 경로에서 손실되거나 오류가 생긴 세그먼트를 재전송한다.
이동 사용자의 경우 아래의 상황 때문에 손실을 겪을 수 있다.
- 네트워크 혼잡 (라우터의 버퍼 오버플로)
- 핸드오프 (이동 노드의 새 네트워크 접속점으로 세그먼트를 재라우팅해주기 위한 지연 때문)
어떤 경우든지 간에 TCP의 수신자에서 송신자로 전송되는 ACK는 세그먼트가 성공적으로 수신되었는지 여부만을 알리며,
세그먼트가 손실된 경우에는 그것이 어떤 이유 때문인지 송신자는 알지 못한다.
어떤 이유든 송신자는 해당 세그먼트를 재전송한다.
TCP의 혼잡 제어 메커니즘도 이유와는 관계없이, 무조건 혼잡 윈도를 감소시키는 것으로 반응한다.
하지만 무선 네트워크에서는 비트 오류가 훨씬 많이 발생하는데,
비트 오류나 핸드오프로 인해 손실이 생겼을 경우 TCP 송신자는 혼잡 윈도를 감소(즉, 송신율 감소)시킬 필요가 없다.
실제로는 패킷이 혼잡을 겪지 않고 종단 간의 경로를 따라 여유 있는 라우터 버퍼를 이용해 제대로 전달되고 있을 수도 있다.
따라서 1990년대 초중반에 연구자들은 무선 링크의 높은 비트 오류율과 핸드오프로 인해
무선 환경에서는 혼잡 제어와 관련된 TCP의 무조건적인 반응이 문제가 될 수 있음을 알게되었다.
이 문제를 해결하기 위해 다음 세 가지 접근 방법을 사용할 수 있다.
✅ 지역 복구(local recovery)
비트 오류가 발생했을 때 오류 발생 지점(e.g., 무선 링크)에서 복구해주는 것이다.
이런 방법으로는 802.11 ARQ 프로토콜 또는 ARQ와 FEC를 모두 사용하는 방법이 있다.
하지만 이 방식에서 TCP 송신자는 세그먼트가 무선 링크를 거쳐서 전달되고 있음을 전혀 알지 못한다는 문제점이 있다.
✅ TCP 송신자의 무선 링크 인지
지역 복구에서의 문제점을 해결하기 위한 한 가지 대안으로서 TCP 송신자와 수신자가 무선 링크를 인지하게 해서
유선 네트워크에서의 혼잡으로 인한 손실과 무선 링크에서의 오류나 핸드오프로 인한 손실을 구분하게 하는 방법이 있다.
즉, 유선 네트워크에서의 혼잡으로 인한 손실에 대해서만 혼잡 제어를 하는 것이다.
✅ 연결 분리 방법(split-connection approach)
무선 사용자의 종단 간 연결을 2개의 트랜스포트 계층 연결(하나는 무선 사용자와 AP 간에, 다른 하나는 AP와 목적지 종단점 간에 설정)로 분리한다.
따라서 종단 간 연결은 무선 부분과 유선 부분으로 분리된다.
무선 구간의 트랜스포트 프로토콜은 표준 TCP 연결 또는 UDP 위에서 동작하도록 고안된 복구용 프로토콜일 수 있다.
이 방법은 셀룰러 네트워크에서 널리 사용되고 있고, 이 방법을 통해 많은 성능 향상이 있었다.
애플리케이션 계층 프로토콜
무선 스펙트럼의 공유 특성으로 인해
무선 링크(특히 셀룰러 무선 링크)를 통해 동작하는 응용에게 대역폭은 매우 부족한 자원이다.
비록 무선 링크 환경이 애플리케이션 계층의 개발에 해결해야 할 어려운 문제를 주기는 하지만,
무선 링크가 제공하는 이동성 덕분에 다양한 종류의 위치 인식 또는 문맥 인식 애플리케이션이 가능해졌다.
또한 무선 이동 네트워크는 향후 유비쿼터스 컴퓨팅 환경 실현에서 아주 핵심적인 역할을 하게 될 것이다.
참고: Computer Networking: A Top-Down Approach - IT-Book-Organization